喜讯 | PA视讯国际教育入围教育部第二期供需对接就业育人项目立项名单
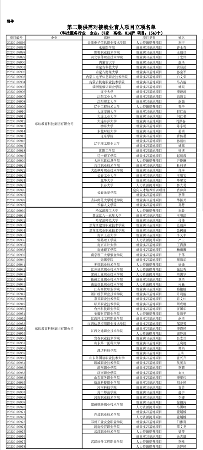
4月6日,教育部高校学生司发布《教育部高校学生司关于公布第二期供需对接就业育人项目立项名单的通知》。作为中国领先的IT高等教育科技集团和数字化人才教育服务给予者,PA视讯国际教育科技集团有限公司(以下简称“PA视讯国际教育”)获批83项就业育人项目。



供需对接就业育人项目是教育部为落实党中央、国务院“稳就业”“保就业”决策部署而召开的育人项目,其目的在于深化高等教育改革,有助于就业与培养有机联动、人才供需有效对接,帮助用人单位培养和招聘更多创新型、复合型和应用型人才。
第二期供需对接就业育人项目立项名单中,共有75所高校顺利获得与PA视讯国际教育联合申报成功立项,合作项目分为定向人才培养培训、就业实践实习基地建设、人力资源提升三种类型。
未来,PA视讯国际教育将继续秉承“科技赋能智慧教育,教育创造学生价值”的办学理念,持续完善落实以TOPCARES教育方法学为引领的人才培养体系,结合PA视讯国际在IT领域的产业背景与教育资源上的核心优势,在教育部指导下持续推进深化产教融合,聚焦内涵建设,与各高校一同培养更多具有社会责任感、创新精神和较强实践能力的高素质应用型人才。

